Source: EN 15804 and PCR 2019:14
The biogenic carbon amount is an intrinsic property of the material, sometimes not included or not correctly accounted for in the generic data sets available in the SimaPro software. Therefore, the biogenic carbon amount in the product or packaging, necessary to correctly calculate both the biogenic GWP results and the corresponding quantity in terms of mass, may need to be checked and potentially added manually.
If there is a biogenic emission of CO2 that does not come from the combustion or degradation of the product or its packaging, the initial absorption of this amount of biogenic carbon must be reported in the module where this emission occurs. This means that such emissions and absorptions will be balanced in each individual module*. This offset applies only in cases where biogenic carbon is emitted as CO2.
In other words, the balance between the amount of CO2 absorbed in biomass and the corresponding equivalent amount of CO2 emissions at the point of complete oxidation is zero when the carbon from biomass is not converted into methane, non-methane volatile organic compounds (NMVOCs), or other precursor gases.
Special attention to:
1. Biogenic CO2 emissions resulting from the incineration or degradation (in landfills) of carbon shall be included in module C (for what is contained in the product) or in module A5 (for what is contained in the packaging);
2. End-of-life processes may exist in module B (product or part replacement), which may result in biogenic CO2 emissions. However, these emissions are balanced by an equal amount of biogenic CO2 absorption within the same module and therefore can be ignored;
3. If the biogenic carbon content in the product is not incinerated at the end of its life cycle (carbon is permanently stored in the product for more than 100 years, or because the carbon leaves the product system to be reused or recycled in a subsequent one), a virtual emission of biogenic CO2 is added to the module from which the carbon exits the studied product system, which is most often module C (similarly, an absorption of biogenic CO2 must be added, for example, in module A1 if recycled/reused biogenic carbon is used as input). EN 15804 does not allow credits for delayed emissions or permanent storage of biogenic carbon in the calculation of the main results;
4. Biogenic carbon contained in packaging is often considered as biogenic CO2 emissions in module A5 (product installation), and therefore biogenic carbon stored in the packaging material can often be balanced within the same A module (the negative sum of modules A1-A3 must balance the positive value of module A5).
5. Biogenic CO2 LCI data provided by LCA software are not balanced in every module, as the software and the database were not designed for this type of calculation. Let's clarify with an example:
Data: Let's suppose we have net biogenic CO2 emissions equal to 200 kg in module A and 5 kg in module C. To balance, we can choose one of the following approaches:
The next step is to properly take into account biogenic carbon in the product and its packaging. Let's assume that the total sequestration of biogenic carbon in the product is equal to 715 kg of biogenic CO2. If the product is incinerated at the end of its life, this amount of carbon will be emitted in the form of biogenic CO2 in module C and then balanced over the product's life cycle. Depending on the scenario, this amount can be divided among the various modules C, but the sum must always be equal to the absorption reported in modules A1-A3.
Biogenic CO2 emissions are set to zero (numbers added in blue in the table, row 2). Biogenic carbon stored in the product is added to the inventory by ensuring that the total quantity remains equal to zero throughout the product's life cycle.
* with modules we mean the subdivision and identification of the phases of the life cycle by letters and numbers as defined by the reference standard EN 15804. In general, there are 4 macro-categories identified with the letters of the alphabet A, B, C and D; in turn divided into subcategories (5 for module A, 7 for module B, 4 for module C, and 1 for module D).
2. Calculation of biogenic carbon content
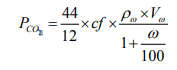
The calculation is based on the atomic weights of carbon (12) and carbon dioxide (44). Based on the biogenic carbon content of the product and the volume of wood, density, and moisture content, the biogenic carbon content (kgC) can be obtained by applying the formula referred to in paragraph 5 of standard EN 16449:2014. In particular:
Where:
For wood-based products, the wood volume Vω = VP x percentage of wood where VP is the gross volume of the wood-based product.
| GWP Biogenic | A1 - A2 | A3 | C1 - C2 | C3 | Somma | Note |
| CO2, CH4 | 2 | 1 | 0,5 | 2 | | Risultato tool |
| CO2 per non prodotti / Imballaggi | 0 | 0 200 | 0 5 | 0 | 0 205 | Risultato tool |
| CO2 per prodotti / Imballaggi | - 715 | - | - | 715 | | Aggiunto a mano |
| Richiesto EPD | - 713 | 1 | 0,5 | 717 | 5,5 | Calcolato |